SIAP MENJADI AHLI PENGADAAN TAHUN 2026?

Kabar gembira bagi para profesional, ASN, dan praktisi pengadaan! Jadwal Pelatihan & Sertifikasi PBJ Level 1 Tahun 2026 telah resmi dirilis.
Sekarang kesempatan Anda untuk mencapai sertifikasi kompetensi yang diakui secara nasional. Kami hadir di berbagai kota besar di Indonesia untuk memudahkan akses belajar Anda!
Mengapa Harus Ikut Gelombang Ini?
Metode e-Learning: E-learning yang fleksibel dilanjutkan dengan Tatap Muka (Face-to-Face) secara intensif.
Lokasi Strategi: Tersedia di Jakarta, Makassar, Bandung, Yogyakarta, Surabaya, Samarinda, Padang, hingga Bali.
Terjadwal Rapi: Pilih waktu yang paling sesuai dengan agenda kerja Anda mulai Januari hingga Juni 2026.
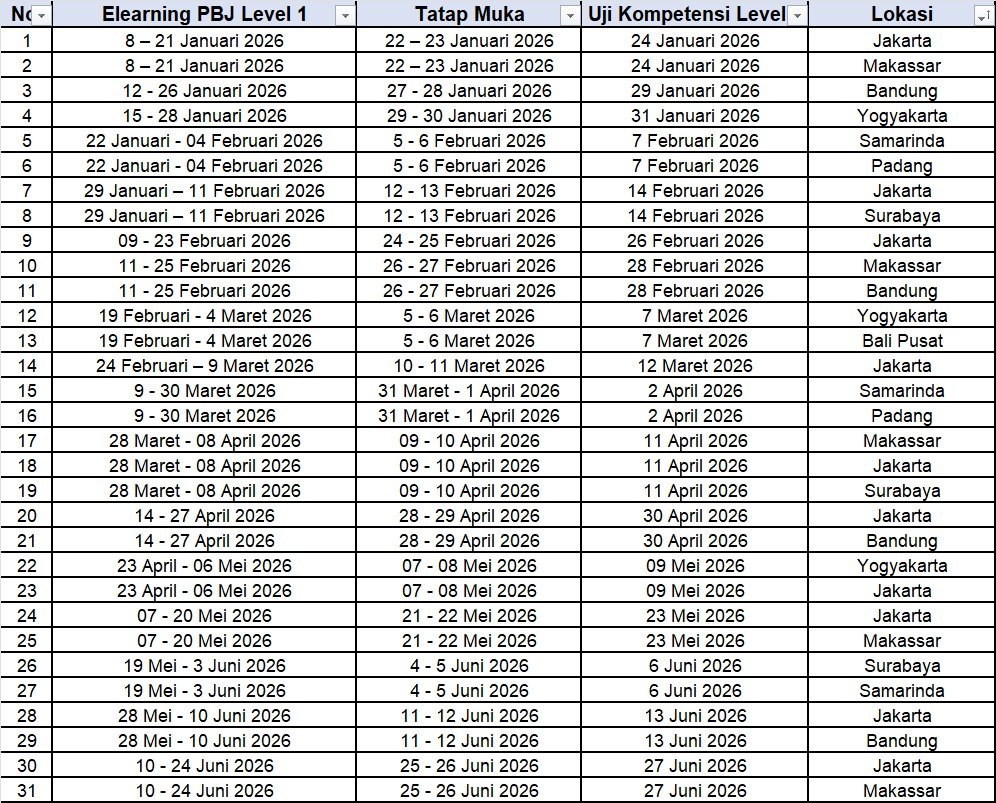
Jadwal Terdekat (Januari 2026):
Jakarta & Makassar: Mulai E-learning 8 Januari 2026.
Bandung: Mulai E-learning 12 Januari 2026.
Yogyakarta: Mulai E-learning 15 Januari 2026.
📑 Pilih Lokasi & Tanggal Anda:
| Bulan | Lokasi Populer | Tanggal Uji Kompetensi |
| Januari | Jakarta, Makasar, Bandung, Yogyakarta | 24, 29, 31 Januari |
| Februari | Samarinda, Padang, Surabaya, Jakarta | 7, 14, 26 Februari |
| Maret | Bali Pusat, Jakarta, Makassar | 7, 12, 28 Maret |
| April - Juni | Berbagai Kota Besar Indonesia | Sesuai Jadwal Lampiran |
🔗 Daftar Sekarang!
Kuota terbatas untuk setiap batch demi menjaga kualitas pengajaran dan penerimaan peserta.
Investasikan waktu Anda untuk karir yang lebih gemilang di bidang Pengadaan Barang/Jasa Pemerintah.
Hubungi Kami untuk Brosur Lengkap & Pendaftaran:
HP/WAÂ WA 0812-9820-0707
Belum Ada Komentar